一品楼qm论坛最新活动,深圳罗湖qm论坛紫兰轩论坛北京验证,一品楼品凤楼论坛官网,甘肃凤楼论坛最新消息新闻

灵科

颗粒增强型塑料的超声波衰减(二)

返回列表 来源: 发布日期: 2023.05.22

此处给出的公式与Beltzer和Brauner、Biwa等人针对纤维复合材料提出的公式类似。尽管按照颗粒(浓度)的允许范围,很难来评价微分法的有效性,但是该模型已有很大改进,它可以解释稀浓度模型无法解释的复合材料的宏观性质。


当颗粒物体积分数的增量01 为无穷小量且刚刚分散到复合材料中时,根据混合定律,复合材料的密度变化为


灵科超声波

 

此外,根据01 的相对增量,绝对的颗粒物体积分数Φ增加量为


 灵科超声波


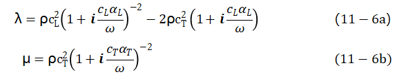
各向同性粘滞性材料的复合模量,可以通过固体中纵波和横波的相速度和衰减系数的形式来给出。若纵波和横波的相速度和衰减系数分别为04 ,则λ 和μ可由下式给出:


灵科超声波


式中,ω为角频率。如文献所述,由于增量01 引起的等效介质的06 07 的改变可以根据08 09 的变化来给出公式。此外,10 11 是和频率无关的,可以基于06 07 的实数值给出如下形式:


 灵科超声波


目前,在声衰减模型中,相速度的影响占次要地位,故而本文忽略了相速度与频率之间的相关性。热而需要注意的是,利用Kramers-Kronig关系,这种效应可以非常容易地被体现出来。


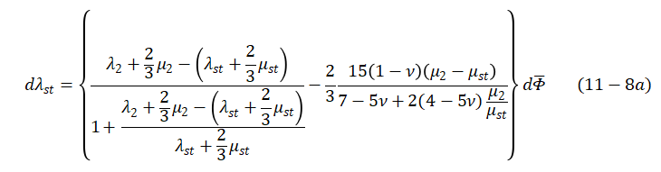
由于01 造成的10 11 的变化可以利用06 07 的变化量来计算,用公式表示为


 灵科超声波


 灵科超声波

其中


 灵科超声波


是复合材料的泊松比。



灵科超声波坚持自主研发,最大力度投入研发设计,拥有一支近30年的研发制造团队,发明创造170余项专利新技术。主要品牌有LINGGAO灵高、LINGKE灵科、SHENGFENG声峰等。广泛运用在医疗器械、电子器材、打印耗材、塑料、无纺布、包装、汽配等多个领域,为海内外各行业、企业提供了大量稳定性强的优质超声波塑焊设备应用方案。

【相关推荐】

咨询热线

13612231694