一品楼qm论坛最新活动,深圳罗湖qm论坛紫兰轩论坛北京验证,一品楼品凤楼论坛官网,甘肃凤楼论坛最新消息新闻

灵科

腐蚀检测

返回列表 来源: 发布日期: 2023.03.03

Bell和Haines提出了超声波频谱测定法的一个新的应用,他们基于来自氧化铁腐蚀层的前表面和后表面反射脉冲之间的相互干涉,提出了测量蒸汽冷却核反应装置中碳钢结构表面腐蚀层厚度的无损检测方法。设计的测量装置简图如图7-16所示,该仪器的宽带换能器能够产生1~20MHz或1~30MHz范围的宽带脉冲信号,并对接收脉冲信号进行复数傅里叶变换基础上的频谱分析。


对铝块表面上185μm环氧树脂薄层进行超声检测得到的幅度谱如图7-17所示??梢钥吹?,频谱在9.75MHz、16.27MHz、22.65MHz频率处出现一系列“下陷”,即幅度极小值,出现极小值的频率比值为3:5:7,与理论分析基本相符。图7-18是针对钢板腐蚀层检测得到的相位谱。


Bell和Haines工作的全新特点是利用了复数傅里叶变换,为研究界面反射的相位变化提供了条件。提高了超声波频谱测定法的灵敏度,上述技术在英国核动力反应堆中已经成为腐蚀控制的标准方法。仪器可以用市售的成件组装。



上述研究是基于对含有层状介质的多界面结构中介质层的声压反射系数进行幅度谱与相位谱分析得到的结果。由于幅度谱与相位谱表达式中包含层状介质的阻抗(密度、声速)、厚度、衰减系数等信息,因此,在某些条件已知的情况下,就可以利用实验测量及频谱分析得到的声压反射系数幅度谱和相位谱对其他感兴趣的参量进行分析,从而实现对涂层/薄膜材料特性的表征。


采用超声波窄脉冲回波水浸聚焦方式检测涂覆层材料时,可以将超声检测系统简化为图7-19所示的超声波在多界面结构中的传播模型。



超声波垂直入射至薄层表面,仅考虑超声波脉冲宽度大于超声波在介质层2中往返一次的传播时间这种情况,此时界面2处的反射回波与界面1处的反射回波发生混叠,并且声波会在层2中发生多次反射与透射,导致窄脉冲信号中特定频率下的信号发生了干涉。


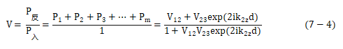
假设窄脉冲超声波入射声压P=1,那么界面1处的反射波声压及界面2处的各次反射波声压依次为:P1=V12,P2=V23W12W21exp(2ik2zd),05 。其中,V12V23 分别为界面1,2的声压反射系数;V12 V23 为界面1处的声压透射系数;exp(2ik2zd)表示波在层中往返一次后相位的变化,d为介质层2的厚度。层2的声压反射系数为


 灵科超声波


进一步推导可以得到声压反射系数幅度谱和相位谱Φ,分别为


 灵科超声波


式(7-5)、式(7-6)中,0809 分别为层2中的纵波声速和衰减系数。



灵科超声波坚持自主研发,最大力度投入研发设计,拥有一支近30年的研发制造团队,发明创造170余项专利新技术。主要品牌有LINGGAO灵高、LINGKE灵科、SHENGFENG声峰等。广泛运用在医疗器械、电子器材、打印耗材、塑料、无纺布、包装、汽配等多个领域,为海内外各行业、企业提供了大量稳定性强的优质超声波塑焊设备应用方案。

【相关推荐】

咨询热线

13612231694