一品楼qm论坛最新活动,深圳罗湖qm论坛紫兰轩论坛北京验证,一品楼品凤楼论坛官网,甘肃凤楼论坛最新消息新闻

灵科

表面粗糙度及周期性结构表征

返回列表 来源: 发布日期: 2023.03.16

表面粗糙度测量

粗糙表面包括随机粗糙表面和结构有周期性变化的规则表面??梢杂镁礁砻娲植诙萮和相关长度L予以描述。通??梢愿莞ǚ较蛏系谋砻娓叨缺浠帽砻娲植诙纫抢唇胁问舛?。但对于易损表面或其表面粗糙度在微米以下的表面测定,机械式表面粗糙度测量仪器已无能为力。超声波频谱分析仪是评价此类表面参数特征的有用工具。


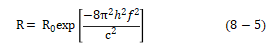
背面反射方法和背散射法都可以用于表面粗糙度的测量。其中,背面反射法是评价表面粗糙度较为简单的方法,可采用常规的液浸法,测出声束垂直入射至被测表面时的反射频谱,并以光滑表面上获得的频谱为参考基准,对测量频谱作归一化处理。其反射系数可写成


 01


式中,R0为光滑表面的反射系数; c为浸液中的声速。


在浸液声速c已知的条件下,利用归一化反射系数,可以间接计算均方根表面粗糙度h。图8-5是针对不同表面粗糙度的铝试样获得的归一化反射频谱,可以看到,由式(8-5)计算得到的均方根表面粗糙度h随频率呈抛物线变化规律。


利用超声波背散射法评价粗糙表面几何外形的原理如图8-6所示。采用脉冲回波方式进行测量,获得粗糙表面背散射压缩波的强度。图8-7为不同均方根表面粗糙度黄铜试样上测得的典型背散射曲线图??梢钥闯?,在5MHz及15MHz下,背散射信号强度与利用表面光度仪测得的表面粗糙度之间有很好的对应关系。


        



灵科超声波坚持自主研发,最大力度投入研发设计,拥有一支近30年的研发制造团队,发明创造170余项专利新技术。主要品牌有LINGGAO灵高、LINGKE灵科、SHENGFENG声峰等。广泛运用在医疗器械、电子器材、打印耗材、塑料、无纺布、包装、汽配等多个领域,为海内外各行业、企业提供了大量稳定性强的优质 超声波塑焊设备及应用方案。

【相关推荐】

咨询热线

13612231694