一品楼qm论坛最新活动,深圳罗湖qm论坛紫兰轩论坛北京验证,一品楼品凤楼论坛官网,甘肃凤楼论坛最新消息新闻

珠海灵科自动化科技有限公司

中文English

超声波焊接原理
超声波反射和折射

超声波在不同媒质的界面上产生的反射和折射与普通声波相同,但由于波长短,呈现出与光相似的现象。


当声波垂直地从第1媒质(比声学阻抗Pruu)入射到第2媒质(prus)时,反射率是:


 灵科超声波


被给予.而从固体或液体到气体,或者相反的情况下,几乎100%会反射。


声音从液体斜射到固体上,固体中就会产生波浪和横波。入射角和折射角的关系


 灵科超声波


成为.其中,09 是液体的声速,10 分别是固体波和横波的声速。


 

一般11 ,甚至12 的情况也很多。在这种情况下,当入射角为13 ,或14 的角度δ和δ’时,发生全反射。利用这种关系可以测量固体的音速。也就是说,如第24图所示,固体板在液体中旋转时,如果板中的吸收很大,而板背面的多重反射的影响不大(如树脂)。在δ处可以看到透射率极小。如果09 是已知的,那么从这个角度可知15 (全反射法)。


 

为了收集液体中的超声波,使用了超声波透镜。它是用具有比普通液体略大的声阻抗的树脂(聚苯乙烯等)制成的。


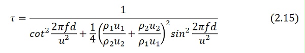
厚度为d的板置于液体中,声波垂直入射于其上,由于多重反射的影响,透射16 随厚度周期性变化.即忽略板中的吸收中


 灵科超声波


给出,d为板中半波长的整数倍时,τ为最大值(1),半整数倍时为最小值。利用这个多重反射,可以测量板中的音速(旋转板法)。由于板的厚度很难连续变化,所以采用与第24图相同的装置。图27是测定金属板在液体中旋转的例子,在这种情况下也能测定出全反射角,但相比之下,根据多反射产生的权大角来确定音速更为准确。从图中可以看出,在板的厚度确定的情况下,倾斜某个角度时,超声波更容易透过。


 以上就是惠州灵科超声波为大家介绍关于超声波焊接机的相关信息,如果大家对焊接设备需要更深一步的了解,欢迎致电公司电话:0756-8626887,或者打开公司官网:http://m.90847.cn/,我们很乐意为大家服务!                    



灵科超声波坚持自主研发,最大力度投入研发设计,拥有一支近30年的研发制造团队,发明创造170余项专利新技术。主要品牌有LINGGAO灵高、LINGKE灵科、SHENGFENG声峰等。广泛运用在医疗器械、电子器材、打印耗材、塑料、无纺布、包装、汽配等多个领域,为海内外各行业、企业提供了大量稳定性强的优质超声波塑焊设备应用方案。

返回
列表
上一条

超声波干涉仪

下一条

盘式活塞声源声场