一品楼qm论坛最新活动,深圳罗湖qm论坛紫兰轩论坛北京验证,一品楼品凤楼论坛官网,甘肃凤楼论坛最新消息新闻

珠海灵科自动化科技有限公司

中文English

塑料焊接原理
塑料点焊的工艺流程

塑料点焊的工艺流程

塑料点焊是一种特殊的点焊方...
塑料焊接原理

塑料焊接原理

超声波焊接原理塑料加工中所...
颗粒增强型塑料的超声波衰减(三)

颗粒增强型塑料的超声波衰减(三)

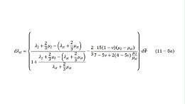
和的相应变量可通过独立散射...
颗粒增强型塑料的超声波衰减(二)

颗粒增强型塑料的超声波衰减(二)

此处给出的公式与Beltz...
塑料焊接在汽车行业中的应用

塑料焊接在汽车行业中的应用

现代汽车工业中,塑料焊接技...
颗粒增强型塑料的超声波衰减(一)

颗粒增强型塑料的超声波衰减(一)

目前各种类型的颗粒增强型聚...
常见塑料焊接问题的解决办法(一)

常见塑料焊接问题的解决办法(一)

在使用超声波焊接机时,产品...
常用塑料材质可以使用超声波焊接加工的有哪些?

常用塑料材质可以使用超声波焊接加工的有哪些...

超声波焊接是一种应用超声波...
超声波焊接塑料ABS的应用及特点

超声波焊接塑料ABS的应用及特点

塑料材质ABS能够与ABS...
ABS和PC两种塑料材质能够用超声波焊接吗?

ABS和PC两种塑料材质能够用超声波焊接吗...

ABS和PC是两种塑料材质...
1 / 9
123下一页末页